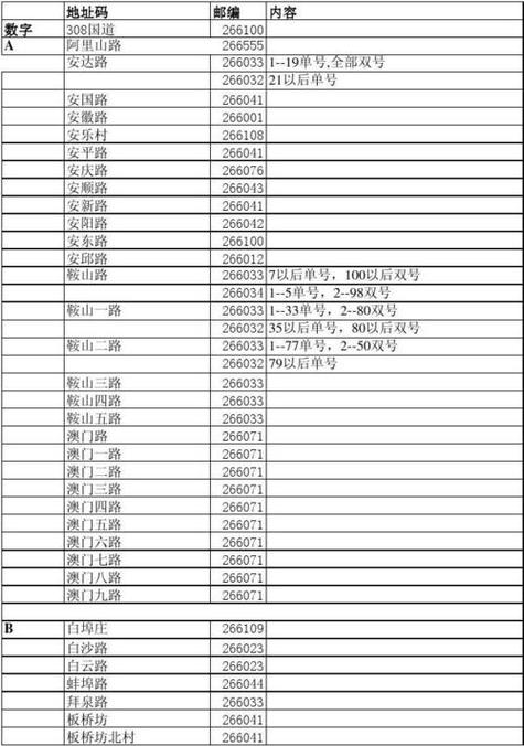
上海青浦区的邮政编码是 202500。

(图片来源网络,侵删)
需要说明的是,青浦区面积较大,下辖多个街道和镇,虽然整个青浦区都使用202500作为邮政编码,但在投递时,邮政系统会根据更详细的地址信息(如路名、小区名、单位名)进行精准分拣和投递。
无论是寄到青浦新城、朱家角、徐泾还是青浦的其他地方,填写邮政编码 202500 都是正确的。
补充信息:
- 所属邮局: 青浦区邮政局
- 电话区号: 021 (和上海市区一样)
如果您想查询更具体地址的邮编,可以访问中国邮政官网的“邮政编码查询”服务。

(图片来源网络,侵删)

(图片来源网络,侵删)
标签: 上海青浦区邮政编码查询 上海青浦区邮编是多少 上海青浦区邮编查询
版权声明:除非特别标注,否则均为本站原创文章,转载时请以链接形式注明文章出处。